Análise de H₂S: Medições Precisas para Segurança Operacional e Qualidade de Produtos

Lavadora SMEG
Lavadora SMEG

Tecnologia PSL para quantificar o teor de Sulfeto de Hidrogênio em óleos pesados, brutos e betume, otimizando tratamentos e garantindo a conformidade.

Equipamentos especializados para a medição rápida e confiável do teor de Sulfeto de Hidrogênio (H₂S) em produtos de refinaria. As soluções PSL, oferecidas pela ReoTerm, substituem métodos tradicionais que são frequentemente lentos, caros ou pouco confiáveis, aumentando a segurança e reduzindo custos operacionais.

O Desafio do Controle de H₂S em Óleos Pesados

O Sulfeto de Hidrogênio (H₂S) é um gás extremamente tóxico, corrosivo e inflamável, comumente presente em petróleo bruto, óleos combustíveis pesados e betume.

Seu teor é rigorosamente regulamentado, e a inadequada confiabilidade dos métodos de teste tradicionais implica em grandes riscos para a saúde, segurança e meio ambiente. Uma análise precisa e rápida é, portanto, crucial para garantir a conformidade com os limites de H₂S e para otimizar o uso de agentes sequestrantes ("scavengers"), evitando superdosagens que aumentam os custos de tratamento.

Equipamento Recomendados

H₂S Analyzer 320: Análise Precisa de H₂S em Fases Líquida e Vapor

O H₂S Analyzer 320 é um instrumento de laboratório que determina com alta precisão o teor de Sulfeto de Hidrogênio em betume, asfalto, óleos brutos, óleos combustíveis pesados e outros produtos de refinaria, em temperaturas de até 200 °C.

Superando os métodos de teste tradicionais, que são frequentemente lentos, caros e pouco confiáveis, este equipamento oferece uma solução robusta para atender às exigências de segurança e aos limites de H₂S cada vez mais rigorosos do mercado.

Sistema de dosagem SMEG

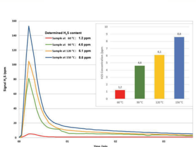
Baseado no método DyMS, este analisador mede tanto o H₂S dissolvido quanto o liberado, além de mercaptanas e SO₂, simultaneamente nas fases líquida e de vapor. O princípio de medição consiste em misturar a amostra em um container com um solvente de alto ponto de ebulição, mantendo-a agitada e aquecida. O H₂S é então liberado por purga de nitrogênio, o que previne a oxidação, e sua concentração é medida por um sensor especial.

Imagem do equipamento Floc FT5
Sistema de dosagem SMEG

Resultados precisos e confiáveis em uma ampla faixa de emissão na fase líquida e de vapor

O equipamento cobre uma ampla faixa de emissão, de 1 a 10.000 ppm na fase líquida e até 1.000 ppm na fase de vapor, fornecendo resultados precisos e confiáveis. Além de ser uma unidade portátil que pode ser usada em campo, o H₂S Analyzer 320 permite uma otimização significativa dos custos de tratamento com sequestrantes ("scavengers") e um aumento considerável na segurança do produto e operacional.

ReoTerm e PSL: Controle Total sobre o Teor de H₂S

A medição precisa e rápida do H₂S é fundamental para a segurança, conformidade e eficiência de custos em suas operações. Com a tecnologia avançada do H₂S Analyzer 320 da PSL Systemtechnik, suportada pela expertise local da ReoTerm, você pode otimizar o tratamento de seus produtos e garantir a segurança em todas as etapas. Nossa equipe está pronta para ajudá-lo a implementar esta solução em seu laboratório ou em campo.Transforme suas ideias em filmes inovadores. Fale conosco hoje mesmo e descubra como podemos impulsionar seus projetos!

Veja outras soluções da PSL

Análise da Precipitação de Asfaltenos
Análise da Precipitação de Asfaltenos Mais Informações
Análise de Depósitos de Ceras e Parafinas
Análise de Depósitos de Ceras e Parafinas Mais Informações
Análise da Formação de Incrustações (Scale)
Análise da Formação de Incrustações (Scale) Mais Informações
Análise de Hidratos de Gás
Análise de Hidratos de Gás Mais Informações
Análise do Comportamento e Propriedades de Escoamento
Análise do Comportamento e Propriedades de Escoamento Mais Informações
Análise do Teor de Sulfeto de Hidrogênio
Análise do Teor de Sulfeto de Hidrogênio Mais Informações
Análise de Propriedades de Líquidos
Análise de Propriedades de Líquidos Mais Informações
Utilizamos cookies essenciais e tecnologias semelhantes de acordo com a nossa Política de Privacidade e, ao continuar navegando, você concorda com estas condições.

Olá, precisa de ajuda?