Análise de Propriedades Críticas de Líquidos: H₂S, Viscosidade e Espumas

Lavadora SMEG
Lavadora SMEG
Lavadora SMEG

Soluções PSL para a medição precisa do teor de H₂S, da viscosidade em altas pressões e temperaturas (HPHT) e do comportamento de espumas sob condições de processo.

Equipamentos de laboratório para uma caracterização aprofundada das propriedades críticas de seus fluidos. As soluções PSL, representadas no Brasil pela ReoTerm, permitem avaliar a segurança, o comportamento de fluxo e a estabilidade de líquidos sob condições que simulam a realidade do seu processo industrial.

A Importância da Análise de Propriedades Específicas dos Fluidos

Para garantir a segurança, a qualidade e a eficiência operacional, muitas vezes é necessário ir além da análise de deposição e entender outras propriedades fundamentais dos líquidos. Medir com precisão o teor de Sulfeto de Hidrogênio (H₂S) é vital para a segurança e para otimizar tratamentos químicos.

Determinar a viscosidade sob condições extremas de pressão e temperatura (HPHT) é crucial para o projeto e a operação de sistemas de produção em águas profundas. Da mesma forma, compreender e controlar a formação e a estabilidade de espumas pode ser a chave para a eficiência de processos de separação e outras aplicações industriais.

A PSL Systemtechnik oferece instrumentos dedicados para cada uma dessas análises críticas.

Equipamentos Recomendados

HPHT-Viscometer: Análise de Viscosidade em Condições Extremas

O Viscosímetro de Alta Pressão e Alta Temperatura (HPHT-Viscometer) da PSL é um viscosímetro rotacional projetado para determinar a viscosidade dinâmica absoluta de fluidos newtonianos e não-newtonianos sob condições extremas.

O equipamento simula com precisão as condições encontradas, por exemplo, em depósitos de águas profundas, operando em pressões de até 1.500 bar (21.750 psi) e temperaturas de até 200 °C (392 °F). Sua ampla faixa de medição de viscosidade se estende de 5 mPas até 100.000 mPas, podendo ser estendida conforme a necessidade.

Sistema de dosagem SMEG

Projetado para ser robusto e prático e de fácil manuseio, este sistema utiliza o Haake Viscotester® VT550 como instrumento de medição, requer um pequeno volume de amostra de aproximadamente 20 ml e possui um container de amostra desmontável, o que facilita enormemente a limpeza. O controle do equipamento e a aquisição de dados são realizados através de um PC com o software RheoWin®.

A versatilidade do HPHT-Viscometer o torna uma ferramenta indispensável para uma vasta gama de aplicações críticas na indústria de óleo e gás.

Ele é ideal para testes de reinício de fluxo em linhas umbilicais, medição do ponto de escoamento (yield point), além de testes de estabilidade de emulsões. Com acessórios adicionais, é possível adaptar o sistema para essas diversas aplicações, obtendo dados cruciais para a garantia de escoamento e o desenvolvimento de produtos.

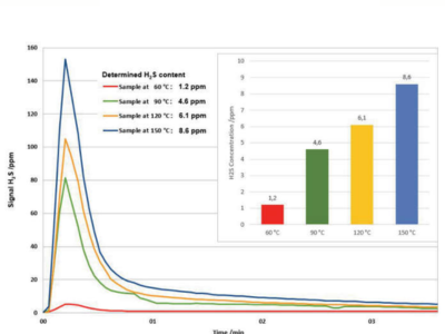
H₂S Analyzer: Medição Precisa do Teor de Sulfeto de Hidrogênio

O H₂S Analyzer 320 mede o teor de H₂S dissolvido e liberado em betume, óleos combustíveis pesados e petróleo bruto, em fases líquida e de vapor.

Operando em temperaturas de até 200°C , este equipamento utiliza um método patenteado para fornecer resultados rápidos e confiáveis, sendo essencial para otimizar custos com tratamentos de sequestrantes ("scavengers") e aumentar a segurança do produto e operacional.

Imagem do equipamento Floc FT5

Foam Tester (FOA): Análise da Geração e Estabilidade de Espumas

Imagem do equipamento Floc FT5
Imagem do equipamento Floc FT5

Foam Tester (FOA): Análise da Geração e Estabilidade de Espumas

O Foam Tester permite a investigação da geração e estabilidade de espumas sob condições variadas, borbulhando gás através da amostra líquida. Uma de suas características fundamentais é a capacidade de realizar testes pressurizados em até 10 bar, o que permite analisar soluções aquosas em temperaturas de até 150°C sem ebulição.

O equipamento realiza diferentes modos de teste, como "Carry-over" (medição contínua do peso da espuma), colapso e estabilidade da espuma.

Teste "carry-over" em diferentes temperaturas, pressão, vazão

Imagem do equipamento Floc FT5

ReoTerm e PSL: Domine as Propriedades Essenciais dos Seus Fluidos

Compreender as propriedades críticas de seus líquidos é fundamental para a segurança, a eficiência e a inovação. Com as soluções especializadas da PSL Systemtechnik, representadas pela ReoTerm no Brasil, você tem acesso a ferramentas de ponta para analisar desde o teor de H₂S até o comportamento de espumas e a viscosidade em condições extremas. Nossa equipe de especialistas está pronta para ajudá-lo a escolher a solução correta para seus desafios.

Veja outras soluções da PSL

Análise da Precipitação de Asfaltenos
Análise da Precipitação de Asfaltenos Mais Informações
Análise de Depósitos de Ceras e Parafinas
Análise de Depósitos de Ceras e Parafinas Mais Informações
Análise da Formação de Incrustações (Scale)
Análise da Formação de Incrustações (Scale) Mais Informações
Análise de Hidratos de Gás
Análise de Hidratos de Gás Mais Informações
Análise do Comportamento e Propriedades de Escoamento
Análise do Comportamento e Propriedades de Escoamento Mais Informações
Análise do Teor de Sulfeto de Hidrogênio
Análise do Teor de Sulfeto de Hidrogênio Mais Informações
Análise de Propriedades de Líquidos
Análise de Propriedades de Líquidos Mais Informações
Utilizamos cookies essenciais e tecnologias semelhantes de acordo com a nossa Política de Privacidade e, ao continuar navegando, você concorda com estas condições.

Olá, precisa de ajuda?